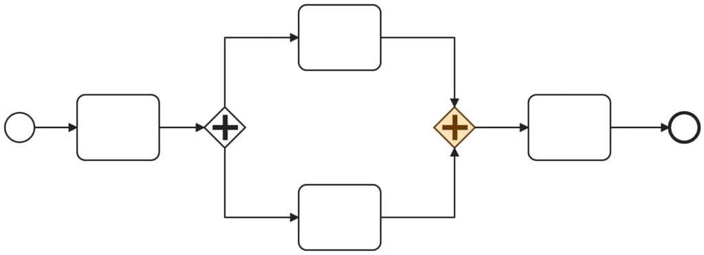
As explained in a previous lesson, gateways serve to split or join process flows. A split gateway is a point where a single inbound sequence flow diverges into two or more outbound branches:

A parallel split (AND-split) gateway
A join gateway is where multiple inbound branches merge into a single outbound branch:

A parallel join (AND-join) gateway
In the case of a parallel gateway, the AND-split gateway indicates where activities begin to be performed in parallel. the corresponding AND-join gateway waits until tokens from all incoming sequence flows have been received before synchronizing the tokens and allowing the process to continue.

The AND-join gateway synchronizes tokens from incoming sequence flows before proceeding.
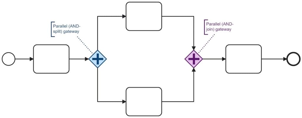
Here’s an example of processing that utilizes parallel gateways:

An example of a parallel process
- The process is instantiated when the traveler receives a boarding pass.
- Next, the traveler proceeds to the security checkpoint.
- Upon arriving at the checkpoint, the sequence flow splits at a parallel gateway. Unlike other gateways, parallel gateways aren’t typically labeled.
- One sequence flow calls for the traveler to submit her carry-on luggage to be screened.
- In parallel, the traveler herself must complete a screening process.
- The sequence flows are synchronized at another parallel gateway.
- Only after both parallel process flows are completed can the travel proceed to the departure gate.
- The process instance is finished when the traveler arrives at her gate.