Participants
Participants are responsible for performing the activities that comprise a process flow. Participants can be
- Organizations
- Roles
- Systems
Pools
Pools are containers for the sequence flow that is the responsibility of a participant.

Pools
- Every participant has their own pool.
- Every end-to-end process is contained within a single pool. In other words, sequence flows cannot cross pool boundaries.
“Black box” pools—such as the Customer pool below—are used when the details regarding a participant’s process are unavailable or not important.

A “black box” pool hides process details.
Lanes
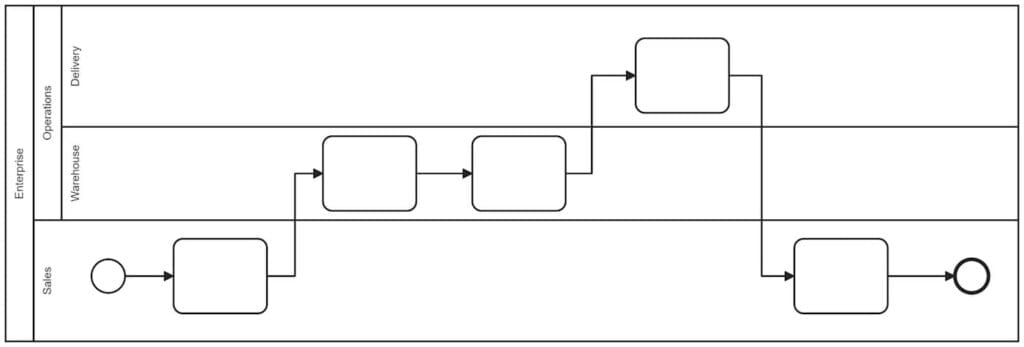
Pools can be subdivided in a hierarchical fashion to add clarity regarding the responsibility for process activities.

A pool may be subdivided into lanes corresponding to roles.
In the example above,
- The Enterprise pool is divided into Sales and Operations lanes.
- The Operations lane is subdivided into Warehouse and Delivery lanes.
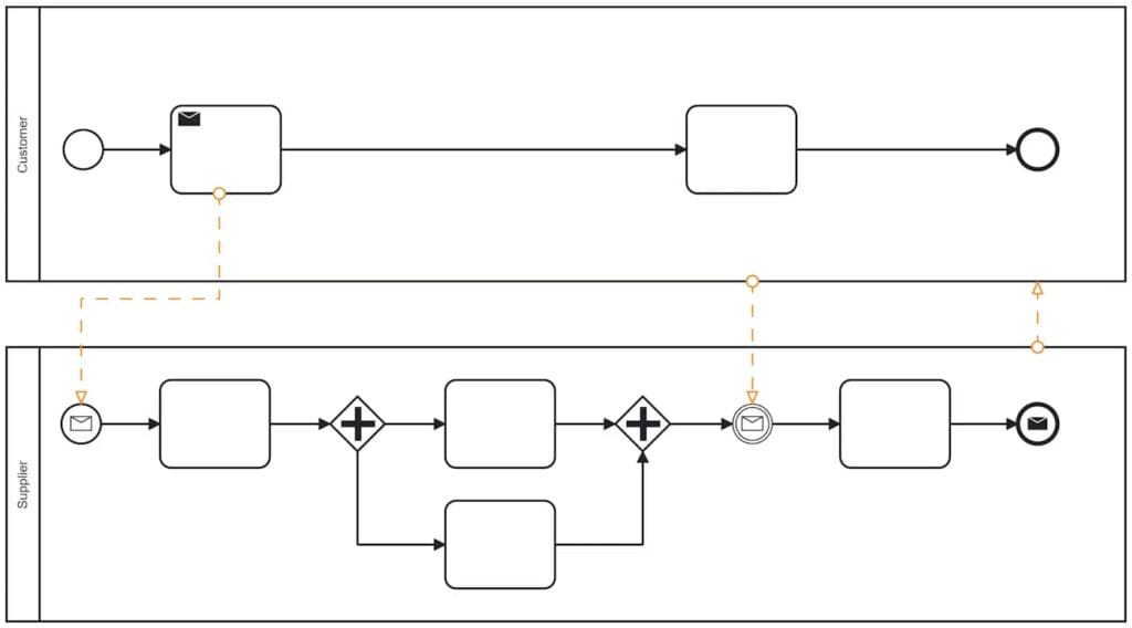
Message Flows
Message flows define the flow of information between pools.

Message flows represent the flow of information between pools.
Message flow can connect flow objects in different pools, a pool and a flow object in a different pool, or two pools.

Incoming message flows must be received before an activity starts. Outgoing message flows are sent upon the completion of an activity. In the example above,
- Message 1 must be received before Task A can begin.
- Message 2 is sent immediately upon the completion of Task C.
Initiating Processes with Messages
Processes are often started upon the receipt of a message. In the following example, a customer order triggers Company’s order fulfillment process.

Initiating a process with a message flow