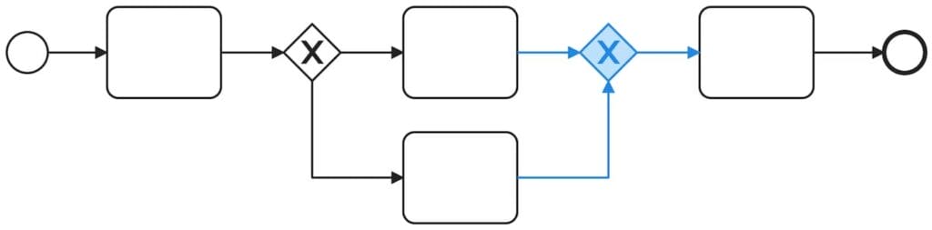
Gateways serve to split or join process flows. A split gateway is a point where a single inbound sequence flow diverges into two or more outbound branches:

A split gateway
A join gateway is where multiple inbound branches merge into a single outbound branch:

A join gateway
Data-based Exclusive Gateway
A data-based exclusive (XOR-split) gateway is used to select one path among a mutually exclusive and collectively exhaustive set of alternatives when the required information is revealed through a previous decision activity.

Data-based exclusive (XOR) gateways
Event-based Exclusive Gateway
An event-based exclusive gateway is used to route the token to the path determined by the first event (or receive task) to occur.

Event-based exclusive (XOR) gateways
Exclusive Join Gateway
The exclusive join (XOR-join) gateway works as a pass-through. That is, every incoming token that arrives through one of its input branches immediately flows through to the output branch.

The exclusive join (XOR-join) gateway acts as a pass-through.